您现在的位置: 数学辅导报社网站 >> 编务中心 >> 高中编务 >> 高中报纸网上读报 >> 高考版 >> 正文  
 
 
 
[组图]例谈三角变换的常用技巧           ★★★
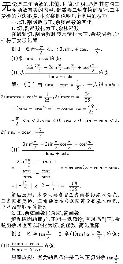
例谈三角变换的常用技巧
作者:王彦青 文章来源:人教课标(A)高考版·总第13期 点击数:261 更新时间:2007-5-14 15:43:16



文章录入:sea    责任编辑:sea 
  • 上一篇文章:

  • 下一篇文章:
  • 【字体: 】【发表评论】【加入收藏】【告诉好友】【打印此文】【关闭窗口
      网友评论:(只显示最新10条。评论内容只代表网友观点,与本站立场无关!)

     
       
     


    主办单位:中国数学会 运营单位:数学辅导报社

    联系电话:0435-3940500/01/02 传真:0435-3940503 地址:吉林省通化市西昌工贸开发区2号数学辅导报社